航空機騒音の測定方法
航空機騒音の測定
航空機騒音の測定は、基本的には「航空機騒音に係る環境基準」(昭和48年12月27日環境庁告示第154号)とそれを補足する「航空機騒音監視測定マニュアル」(昭和63年7月環境庁大気保全局)に沿って行われてきました。
平成19年に航空機騒音に係る環境基準の一部を改正する告示(環境省告示第114号)が公布され、平成25年4月1日から施行されています。
近年、騒音測定機器が技術的に進歩し、また、国際的にも騒音の評価には等価騒音レベルを基本とした評価指標が採用されています。この基準改正は、このような動向を踏まえ、騒音の評価指標をWECPNL からLden(時間帯補正等価騒音レベル)に改正したものです。測定は「航空機騒音測定・評価マニュアル」(平成24年11月環境省、以下「マニュアル」)に準じて行われています。
成田空港は、空港法第4条に規定する拠点空港となっており、マニュアルでは、連続7日間の測定を実施するタイプⅠの飛行場とされています。
成田空港では、関係自治体及び空港会社が騒音の自動監視装置を設置して、年間を通じての総合的な騒音暴露を測定しています。
年間のLdenは、1日ごとのLdenを算出し、全測定日のLdenをパワー平均して求めます。
平成19年に航空機騒音に係る環境基準の一部を改正する告示(環境省告示第114号)が公布され、平成25年4月1日から施行されています。
近年、騒音測定機器が技術的に進歩し、また、国際的にも騒音の評価には等価騒音レベルを基本とした評価指標が採用されています。この基準改正は、このような動向を踏まえ、騒音の評価指標をWECPNL からLden(時間帯補正等価騒音レベル)に改正したものです。測定は「航空機騒音測定・評価マニュアル」(平成24年11月環境省、以下「マニュアル」)に準じて行われています。
成田空港は、空港法第4条に規定する拠点空港となっており、マニュアルでは、連続7日間の測定を実施するタイプⅠの飛行場とされています。
成田空港では、関係自治体及び空港会社が騒音の自動監視装置を設置して、年間を通じての総合的な騒音暴露を測定しています。
年間のLdenは、1日ごとのLdenを算出し、全測定日のLdenをパワー平均して求めます。
騒音計
測定に用いる騒音計は、計量法第71条の条件を満たし、JIS C 1509-1に適合した騒音計を使用しています。騒音計の周波数補正特性及び動特性は、環境基準の測定方法に従い、A特性・slowとしています。
マイクロホンも含めて騒音計が正常に動作することを音響的に確認するために、JIS C 1515のクラス1に適合する音響校正器を使用し、定期的に点検して、騒音計の精度を保っています。
マイクロホンも含めて騒音計が正常に動作することを音響的に確認するために、JIS C 1515のクラス1に適合する音響校正器を使用し、定期的に点検して、騒音計の精度を保っています。
評価指標
我が国の航空機騒音に係る環境基準の評価指標は、昭和48年以来長年にわたりWECPNLを採用してきましたが、騒音測定技術の進歩に伴い高度な測定が簡易に行えるようになったこと、また、国際的な動向などからLdenを用いることになりました。
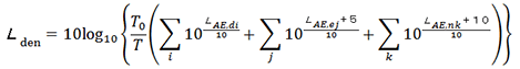
Ldenは昼間、夕方、夜間の時間帯別に重みを付けて求めた1日の等価騒音レベルで、下式により算出します。単位はデシベル(dB)です。Lden算出の基となるLAE(単発騒音暴露レベル)は、単発的に発生する騒音の全エネルギーと等しいエネルギーを持つ継続時間1秒の定常音の騒音レベルを示します。(図1参照)
なお、WECPNL(加重等価平均感覚騒音レベル)での評価は平成25年3月31日まで行っています。その算出方法は、下式のとおりです。(図1参照)
Ldenは昼間、夕方、夜間の時間帯別に重みを付けて求めた1日の等価騒音レベルで、下式により算出します。単位はデシベル(dB)です。Lden算出の基となるLAE(単発騒音暴露レベル)は、単発的に発生する騒音の全エネルギーと等しいエネルギーを持つ継続時間1秒の定常音の騒音レベルを示します。(図1参照)

(注) i、j、kは、それぞれ昼間、夕方、夜間の時間帯に発生した単発騒音を表す添え字。1日を昼間(07:00~19:00)、夕方(19:00~22:00)、夜間(00:00~07:00、22:00~24:00)の時間帯に区分している。LAE, di、LAE, ej、LAE, nkは、それぞれの時間帯でのi番目、j番目、k番目の単発騒音暴露レベル。T0は基準の時間(1s)、Tは観測1日の時間(86400s)。Ldenの時間帯による重み付けは、LAEに対し昼間はなし、夕方は+5dB、夜間は+10dBとしている。(図2参照) なお、地上騒音に含まれる準定常騒音は、それぞれの時間帯での騒音暴露レベルLAE, Ti, di、LAE, Tj, ej、LAE, Tk, nkとして表し、これらを式のLAE, di、LAE, ej、LAE, nkに読み替えて算入する。
Ldenでは、航空機の運航(離陸、着陸、タッチアンドゴー等)に伴って発生する単発騒音と飛行場近傍で観測される地上騒音のように長時間にわたって継続して観測される準定常騒音とが評価の対象となります。なお、WECPNL(加重等価平均感覚騒音レベル)での評価は平成25年3月31日まで行っています。その算出方法は、下式のとおりです。(図1参照)
![]()
ここで
は1機毎の最大騒音レベルのパワー平均値 N=N1+3N2+10N3
N1、N2、N3はそれぞれ昼間(7:00-19:00)、夕方(19:00-22:00)、夜間(22:00-7:00)の機数
(解説図)

図1.航空機騒音評価における Ldenと WECPNL の違い

図2. Ldenの時間帯による重み付け


